/ 미각센서

 

HOME

Oxide TFT 열처리 효과

1. 소스드레인 전류가 높으면서 모듈레이션이 되지 않다가 열처리 후 오프 전류가 낮아지고 모듈레이션이 됨

2. 소스드레인 전류가 낮으면서 모듈레이션이 되지 않고 열처리 후 모듈레이션이 됨

3. 모듈레이션이 어느 정도 되며 열처리 후 특성이 더 좋아짐

 

 

 

1. 소스드레인 전류가 높으면서 모듈레이션이 되지 않다가 열처리 후 오프 전류가 낮아지고 모듈레이션이 됨

 

Year Authors Title IGZO  
         
2016

TIT, Japan

 

Haochun Tang, Keisuke Ide, Hidenori Hiramatsu a,b, Shigenori Ueda, Naoki Ohashi, Hideya Kumomi, Hideo Hosono, Toshio Kamiya Effects ofthermal annealing on elimination ofdeep defects in amorphous In–Ga–Zn–Othin-film transistors IGZO condition
Thickness 40 nm
In:Ga:Zn:O 1:1:1:4
Depo. RF mag.Sputt.
Temp. R.T.
Gas Ar
Pressure 0.55Pa
Power 70W
Gate Insulator Thermal oxide 150 nm
S/D Ti(10nm)/Au(30nm), e-beam, Lift-off
 
2015

Fudan U. Shanghai

 

Wen-Peng Zhang, Sun Chen, Shi-Bing Qian and Shi-Jin Ding Effects of thermal annealing on the electrical characteristics of In-Ga-Zn-O thin-film transistors with Al2O3 gate dielectric IGZO condition
Thickness 40 nm
In:Ga:Zn:O 1:1:1:4
Depo. RF mag.Sputt.
Temp. R.T.
Gas Ar/O2=48/2 (sccm)
Pressure 0.88Pa
Power 110W
Gate Insulator Al2O3 50 nm, ALD
S/D Ag(100nm) DC Mag. Sput. Lift-off
2012

Taiwan

 

Chien-Hung Wua, Kow-Ming Chang, Sung-Hung Huangb, I-Chung Deng, Chin-Jyi
Wue, Wei-Han Chiang, Je-Wei Line and Chia-Chiang Change
The effect of thermal annealing on the properties of IGZO TFT prepared by
atmospheric pressure plasma jet
IGZO condition
Thickness 40 nm
In:Ga:Zn:O 1:1:1:4
Depo. Sol-gel
Temp. -
Gas -
Pressure -
Power -
Gate Insulator Thermal oxide 130 nm
S/D Al(100nm), Lift-off
W/L=200/20
 

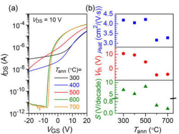
The threshold voltage (VT) shifting more positive after post annealing means that free electron carriers are reduced. The free carriers maybe result from oxygen vacancy or H-related species, and the carrier concentration was reduced effectively by post annealing. As a result, the switching behavior was improved.