HOME

Metal Oxication

Year Title Substrate Metal Anneal.        
                 
2017

U. Malaya, Malysia

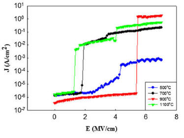
Formation of neodymium oxide by thermal oxidation of sputtered Nd thin film on Si substrate N-type Si(100) substrate,

[Native oxide was removed by hydrofluoric acid (HF) (1 HF :50 H2O) dipping for 10 s. ]

Nd
Target Nd
Thickness 10 nm
Depo. rfSputt.
Temp. R.T.
Gas Ar   20 cm3/min
Pressure 3.0 × 10−3 Pa,
Power 170W
Distance 20 cm
 
Equip. Tube Furnace
Temp 500C-1100C
Time  
Heating rate 10 C/min
Ambient O2   150 cm3/min
Pressure AP
 
2006

Taiwan

Structural and electrical properties of neodymium oxide high- k gate dielectrics p-type 100 oriented silicon wafers with resistivity of 7–11 Ohm cm Nd 
Target Nd 3"
Thickness 10 nm
Depo. rfSputt.
Temp. R.T.
Gas Ar12.5 sccm, O2 12.5sccm
Pressure ~10mTorr
Power 170W
Distance 20 cm
Equip. RTA
Temp 600C -800C
Time 30s
Heating rate  
Ambient N2   150 cm3/min
Pressure AP
the back- side contact of Si wafer deposited a 4000 Å thickness of Al film